Page 140 - DeferredComp-Feb2018
P. 140
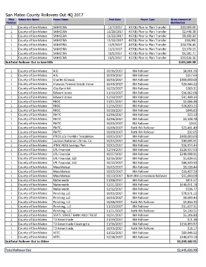
San Mateo County Rollovers Out 4Q 2017
Plan Subscriber Name Payee Name Post Date Payee Type Gross Amount of
Number Distribution
12/7/2017 457(b) Plan to Plan Transfer
1 County of San Mateo SAMCERA 11/28/2017 457(b) Plan to Plan Transfer $20,000.00
11/22/2017 457(b) Plan to Plan Transfer $2,440.38
1 County of San Mateo SAMCERA 11/13/2017 457(b) Plan to Plan Transfer $9,193.93
11/9/2017 457(b) Plan to Plan Transfer $18,000
1 County of San Mateo SAMCERA 11/2/2017 457(b) Plan to Plan Transfer
10/6/2017 457(b) Plan to Plan Transfer $24,758.45
1 County of San Mateo SAMCERA 10/5/2017 457(b) Plan to Plan Transfer $3,370.15
$6,985.71
1 County of San Mateo SAMCERA
$20,836.36
1 County of San Mateo SAMCERA $105,584.98
1 County of San Mateo SAMCERA
1 County of San Mateo SAMCERA
SubTotal Rollover Out to SamCERA
1 County of San Mateo AIG 10/16/2017 IRA Rollover $8,001.26
1 County of San Mateo AIG 10/09/2017 IRA Rollover $157.69
1 County of San Mateo Charles Schwab 10/05/2017 IRA Rollover
1 County of San Mateo Chevron Federal Credit Union 10/05/2017 IRA Rollover $300,000.00
1 County of San Mateo City Bank NA 10/23/2017 IRA Rollover $20,644.22
1 County of San Mateo Edward Jones 11/13/2017 IRA Rollover $283.31
1 County of San Mateo Edward Jones 12/13/2017 IRA Rollover $16,662.08
1 County of San Mateo FIIOC 11/01/2017 IRA Rollover $41,438.34
1 County of San Mateo FIIOC 12/26/2017 IRA Rollover $2,086.48
1 County of San Mateo FIIOC 10/20/2017 IRA Rollover $28,820.23
1 County of San Mateo FMTC 12/06/2017 IRA Rollover $846.83
1 County of San Mateo FMTC 12/06/2017 IRA Rollover $33.10
1 County of San Mateo FMTC 10/05/2017 IRA Rollover $3,338.78
1 County of San Mateo FMTC, 10/09/2017 Roth IRA Rollover $0.01
1 County of San Mateo FMTC. 10/09/2017 Roth IRA Rollover $22,431.49
1 County of San Mateo FTIOS c/o Franklin Templeton 10/05/2017 IRA Rollover $32.05
1 County of San Mateo Jackson National Life Ins. Co 10/05/2017 IRA Rollover
1 County of San Mateo JPMC 401k Savings Plan 10/05/2017 IRA Rollover $300,000.00
1 County of San Mateo LPL Financial 12/14/2017 IRA Rollover $49,095.91
1 County of San Mateo LPL Financial 10/27/2017 IRA Rollover $16,974.44
1 County of San Mateo LPL Financial, LLC 12/15/2017 IRA Rollover
1 County of San Mateo LPL Financial, LLC 10/12/2017 IRA Rollover $228,937.63
1 County of San Mateo MassMutual 10/05/2017 IRA Rollover $248,098.81
1 County of San Mateo MassMutual 10/05/2017 IRA Rollover
1 County of San Mateo MassMutual 10/23/2017 Roth IRA Conversion Rollover $1,029.51
1 County of San Mateo Nationwide 11/08/2017 IRA Rollover $86,620.50
1 County of San Mateo Nationwide 12/21/2017 IRA Rollover
1 County of San Mateo Nationwide 12/12/2017 IRA Rollover $9,138.44
1 County of San Mateo Pershing LLC 10/05/2017 IRA Rollover $10,457.59
1 County of San Mateo Pershing LLC 10/05/2017 IRA Rollover $15,000.00
1 County of San Mateo Pershing LLC 10/06/2017 Roth IRA Rollover
1 County of San Mateo Pershing, LLC 11/15/2017 IRA Rollover $811.57
1 County of San Mateo Pershing, LLC. 11/21/2017 Roth IRA Rollover $440,051.18
1 County of San Mateo STATE STREET BANK AND TRUST 10/31/2017 IRA Rollover
1 County of San Mateo TD Ameritrade 11/29/2017 IRA Rollover $336.77
1 County of San Mateo TD Ameritrade Clearing Inc 11/16/2017 IRA Rollover $78,571.15
1 County of San Mateo TD Ameritrade. 10/05/2017 Roth IRA Rollover
1 County of San Mateo VFTC 11/22/2017 IRA Rollover $9,093.44
1 County of San Mateo VFTC 12/18/2017 IRA Rollover $2,834.35
SubTotal Rollover Out to Other $31,627.31
$4,239.51
$5,206.80
$11.38
$154,893.97
$16.17
$60,946.52
$140,673.19
$2,339,442.01
Total Rollover Out $2,445,026.99

