Page 99 - FebDefComp
P. 99
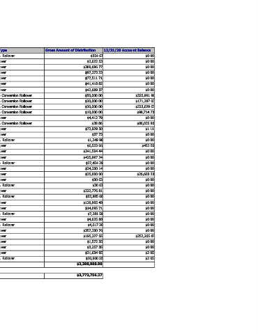
Payee Type 12/31/20 Account Balance Gross Amount of Distribution $43,405.87 $230,000.00 457(b) Plan to Plan Transfer $7,528.65 $56,078.58 457(b) Plan to Plan Transfer $7,528.65 $13,783.91 457(b) Plan to Plan Transfer $7,528.65 $13,783.91 457(b) Plan to Plan Transfer $12,554.30 $11,424.58 457(b) Plan to Plan Transfer $103,730.83 $10,619.03 457(b) Plan to Plan Transfer $61,657.11 $10,567.52 457(b) Plan to Plan Transfer $274.18 $8,300.00 457(b) Plan to Plan Transfer $23,386.70 $5,900.00 457(b) Plan to Plan Transfer $68,045.84 $5,318.79 457(b) Plan to Plan Transfer $141,581.85 $4,892.75 457(b) Plan to Plan Transfer $6,239.68 $3,613.25 457(b) Plan to Plan Transfer $236,698.06 $3,020.49 457(b) Plan to Plan Transfer $46,860.99 $2,820.32 457(b) Plan to Plan Transfer $2,173.96 $1,768.55 457(b) Plan to P
Post Date 10/22/2020 11/23/2020 11/17/2020 11/23/2020 11/20/2020 10/29/2020 11/11/2020 10/14/2020 10/21/2020 10/7/2020 10/2/2020 10/29/2020 11/10/2020 11/5/2020 10/1/2020 10/20/2020 11/20/2020 10/13/2020 Post Date 10/28/2020 11/03/2020 11/20/2020 12/14/2020 12/14/2020 10/06/2020 12/23/2020 11/11/2020 11/25/2020 10/05/2020 10/21/2020 10/16/2020 12/15/2020 12/29/2020 11/09/2020 11/09/2020 12/09/2020
Ameriprise Trust Company Ariel Investment Trust Ariel Investment Trust AssetMark Trust Co AssetMark Trust Co. Athene FBO Eddie A Mckague AXA Equitable Bank of America Charles Schwab Charles Schwab Charles Schwab and Co Inc Edward Jones Fidelity Fidelity Investments Fidelity Investments Fidelity Investments Fidelity Investments
San Mateo County Rollovers Out Q4 2020
Payee Name SAMCERA SAMCERA SAMCERA SAMCERA SAMCERA SAMCERA SAMCERA SAMCERA SAMCERA SAMCERA SAMCERA SAMCERA SAMCERA SAMCERA SAMCERA SAMCERA SAMCERA SAMCERA Payee Name
Subscriber Name 1 1 1 1 1 1 1 1 1 1 1 1 1 1 1 1 1 1 Subtotal Rollover Out to SamCERA Subscriber Name 1 1 1 1 1 1 1 1 1 1 1 1 1 1 1 1 1
Plan Number 1 1 1 1 1 1 1 1 1 1 1 1 1 1 1 1 1 1 Plan Number 1 1 1 1 1 1 1 1 1 1 1 1 1 1 1 1 1

